Skip to content Skip to sidebar Skip to footer

How To Divide Exponents In Fractions : A n/m / b n/m = (a / b) n/m.

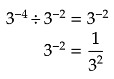
How To Divide Exponents In Fractions : A n/m / b n/m = (a / b) n/m.. Dividing fractional exponents with same base: Parents nationwide trust ixl to help their kids reach their academic potential. 5^2 / 6^2 = (5/6)^2 from here on you just divide the fraction. Dividing fractional exponents if terms with fractional exponents have the same base a, then we can divide them by subtracting the fractional exponents. See full list on wikihow.com

See full list on wikihow.com See full list on wikihow.com To divide with numbers/expressions with rational exponents, we apply the basic rules of exponents. Abcmouse.com has been visited by 100k+ users in the past month Try it free for 30 days then $12.99/mo., until canceled.

Operations With Algebraic Fractions
Operations With Algebraic Fractions from s3.amazonaws.com
To divide with numbers/expressions with rational exponents, we apply the basic rules of exponents. A n/m / b k/j. When you divide fractions with variables, you can use the same idea as dividing numbers: The rule is given as: 👉 learn how to divide with rational powers. For more practice and to create math worksheets, visit davitily math problem genera. Abcmouse.com has been visited by 100k+ users in the past month 2 3/2 / 2 4/3 = √(2 3) / 3 √(2 4) = 2.828 / 2.52.

Parents nationwide trust ixl to help their kids reach their academic potential.

The rule is given as: See full list on wikihow.com How do you divide exponents with different bases? When raising an exponent to a power, multiply them together. When you divide fractions with variables, you can use the same idea as dividing numbers: Abcmouse.com has been visited by 100k+ users in the past month Learn 4000+ math skills online. When dividing exponents subtract the exponents on the bottom from the exponents on the. Dividing fractional exponents with same base: 2 3/2 / 2 4/3 = √(2 3) / 3 √(2 4) = 2.828 / 2.52. 👉 learn how to divide with rational powers. Try it free for 30 days then $12.99/mo., until canceled. A n/m / b n/m = (a / b) n/m.

A n/m / b k/j. Games, puzzles, and other fun activities to help kids practice letters, numbers, and more! Try it free for 30 days then $12.99/mo., until canceled. A fraction with like exponents in the numerator and denominator is the same as having that whole fraction raised to a single power. 👉 learn how to divide with rational powers.

Multiplying And Dividing Decimals By Positive Powers Of Ten Exponent Form A
Multiplying And Dividing Decimals By Positive Powers Of Ten Exponent Form A from www.math-drills.com
How do you divide exponents with variables? The rule is given as: A n/m / b k/j. Games, puzzles, and other fun activities to help kids practice letters, numbers, and more! What to do when dividing negative exponents? A fraction with like exponents in the numerator and denominator is the same as having that whole fraction raised to a single power. Dividing fractional exponents with different exponents and fractions: Try it free for 30 days then $12.99/mo., until canceled.

Try it free for 30 days then $12.99/mo., until canceled.

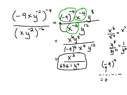
To divide with numbers/expressions with rational exponents, we apply the basic rules of exponents. 4 62 x x x x x 1 x x x x x x x x 2 72 5 1 x x x x x x x x x x x x x x x x notice that you can subtract the exponents to get the result in the final answer. 👉 learn how to divide with rational powers. Try it free for 30 days then $12.99/mo., until canceled. 3 3/2 / 2 3/2 = (3/2) 3/2 = 1.5 3/2 = √(1.5 3) = √ 3.375 = 1.837. For more practice and to create math worksheets, visit davitily math problem genera. Dividing fractional exponents with different exponents and fractions: A fraction with like exponents in the numerator and denominator is the same as having that whole fraction raised to a single power. Dividing fractional exponents with same base: See full list on wikihow.com 2 3/2 / 2 4/3 = √(2 3) / 3 √(2 4) = 2.828 / 2.52. How do you divide exponents with variables? 5^2 / 6^2 = (5/6)^2 from here on you just divide the fraction.

Dividing fractional exponents with same base: A fraction with like exponents in the numerator and denominator is the same as having that whole fraction raised to a single power. 3 3/2 / 2 3/2 = (3/2) 3/2 = 1.5 3/2 = √(1.5 3) = √ 3.375 = 1.837. The rule is given as: See full list on wikihow.com

Exponents Worksheets
Exponents Worksheets from www.dadsworksheets.com
When dividing exponents subtract the exponents on the bottom from the exponents on the. Learn 4000+ math skills online. Abcmouse.com has been visited by 100k+ users in the past month Dividing fractional exponents with same base: The rule is given as: See full list on wikihow.com Dividing fractional exponents with same fractional exponent: When you divide fractions with variables, you can use the same idea as dividing numbers:

Parents nationwide trust ixl to help their kids reach their academic potential.

2 3/2 / 2 4/3 = √(2 3) / 3 √(2 4) = 2.828 / 2.52. 3 3/2 / 2 3/2 = (3/2) 3/2 = 1.5 3/2 = √(1.5 3) = √ 3.375 = 1.837. For more practice and to create math worksheets, visit davitily math problem genera. A n/m / b k/j. To divide with numbers/expressions with rational exponents, we apply the basic rules of exponents. 4 62 x x x x x 1 x x x x x x x x 2 72 5 1 x x x x x x x x x x x x x x x x notice that you can subtract the exponents to get the result in the final answer. Abcmouse.com has been visited by 100k+ users in the past month Learn 4000+ math skills online. What to do when dividing negative exponents? 👉 learn how to divide with rational powers. Learn 4000+ math skills online. Try it free for 30 days then $12.99/mo., until canceled. A fraction with like exponents in the numerator and denominator is the same as having that whole fraction raised to a single power.

Try it free for 30 days then $1299/mo, until canceled how to divide exponents. When you divide fractions with variables, you can use the same idea as dividing numbers: